Lompat ke konten Lompat ke sidebar Lompat ke footer

Soal Pangkat Tak Sebenarnya - Pengertian Bilangan Berpangkat Nol Beserta Contoh Soal Dan Pembahasannya Berpendidikan Com : A 8 b 9 c 10 c.

Soal Pangkat Tak Sebenarnya - Pengertian Bilangan Berpangkat Nol Beserta Contoh Soal Dan Pembahasannya Berpendidikan Com : A 8 b 9 c 10 c.. P + q 2 − p − q − + 7. Sebelum kita pelajari lebih lanjut tentang pangkat tak sebenarnya kita ingat dulu pangkat yang sebenarnya yaitu pangkat bulat positif, misalnya : 8 13 10 3 d. Contoh soal bilangan berpangkat dan bentuk akar dan jawabannya. 6 3 2 4 ¸¸.

Pangkat tak sebenarnya merupakan salah satu materi dalam sekolah menengah pertama smp sehingga para siswa smp harus dapat menguasai materi ini agar tidak kesulitan dalam mengerjakan soal yang berhubungan dengan pangkat tak sebenarnya. Latihan soal perpangkatan latihan soal id: Pada pembahasan pangkat tak sebenarnya ini sedikit banyak kita akan berhubungan dengan konsep bentuk aljabar. Bank soal matematika smp statistika. Soal pangkat dan akar kelas 9 smp plus kunci jawaban dan pembahasan.

Pangkat Tak Sebenarnya
Pangkat Tak Sebenarnya from imgv2-2-f.scribdassets.com
Contoh soal bilangan berpangkat dan bentuk akar kelas 9 materi pelajaran matematika kelas 9 bab 5 bilangan berpangkat dan bentuk akar. Diketahui 2 = a dan 3 = b, nyatakan soal berikut dalam a dan b! Pangkat tak sebenarnya 131 5. A = a 2 = ( )( ) 1 2 = Contoh soal bilangan berpangkat dan bentuk akar dan jawabannya. Soal pangkat dan akar kelas 9 smp plus kunci jawaban dan pembahasan. Soal latihan lebih banyak lagi 1. #matematika #eksponensial #perpangkatan #pangkat #pangkattaksebenarnya #eksponen #persamaan #kuadrat #persamaankuadrat #sma #ipa #un #sbmptn #utbk #tryout #s.

Latihan soal matematika pangkat tak sebenarnya kelas 9 smp.

6 3 2 4 ¸¸. Pangkat tak sebenarnya 131 5. Mengenal pangkat tak sebenarnya rumus matematika. Bank soal matematika smp statistika. Ulangan harian pola bilangan dan barisan bilangan. Contoh soal bilangan berpangkat dan bentuk akar dan jawabannya. Soal uji kompetensi bahasa indonesia tulisan ini berbentuk pilihan ganda dengan bermaterikan sama dengan contoh soal essay bahasa indonesia kelas 10 semester 1 kurikulum 2013 beserta jawabannya bagian pertama yaitu. Berikut mafia online berikan beberapa contoh soal dan pembahasannya tentang pangkat tak sebenarnya. Soal pangkat dan akar kelas 9. Pada pembahasan ini, materi tersebut akan dibahas. Menyelesaikan soal pangkat tak sebenarnya Soal ujian akhir semester matematika 7 smt ganjil. Pada postingan sebelumnya soal latihan pangkat tak sebenarnya, penulis sudah berbagi mengenai beberapa soal tentang pangkat tak sebenarnya tingkat smp, pada kesempatan kali ini penulis ingin memberikan pembahasan beberapa soal tersebut.semoga bermanfaat!

Persamaan eksponen pengertian rumus sifat contoh soal. 8 13 10 3 d. Pangkat tak sebenarnya by irmasmpn7depok: Kumpulan soal matematika smp kelas 9. Pada pembahasan pangkat tak sebenarnya ini sedikit banyak kita akan berhubungan dengan konsep bentuk aljabar.

Antiremed Kelas 09 Matematika Bab 5 Bilnagan Berpangkat 2 Pangkat Tak Sebenarnya Latihan Pdf Document
Antiremed Kelas 09 Matematika Bab 5 Bilnagan Berpangkat 2 Pangkat Tak Sebenarnya Latihan Pdf Document from reader020.staticloud.net
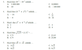
Karena kompleksnya dan sangat bervariasinya bentuk soal, maka materi satu ini menjadi salah satu materi yang tergolong susah. Iman, soal essay perpangkatan dan bentuk akar kelas 9 kurikulum 2013 1st year marketing.contoh soal perpangkatan dan bentuk akar kelas 9 kurikulum 2013.2) un matematika smp/mts tahun 2006 nilai dari √2,25 + (1,5) 2 =.soal pangkat dan akar ini terdiri dari 20 butir soal pilihan ganda.inilah pembahasan lengkap terkait soal matematika kelas 9. 5 latihan soal matematika pangkat tak sebenarnya kelas 9 smp. Pada pembahasan ini, materi tersebut akan dibahas. Contoh soal bilangan berpangkat tak sebenarnya kelas 9.membaca setidaknya satu buku per minggu. Pangkat tak sebenarnya merupakan bilangan berpangkat yang meliputi pangkat negatif, nol, maupun pangkat pecahan. Berikut mafia online berikan beberapa contoh soal dan pembahasannya tentang pangkat tak sebenarnya. Contoh soal bilangan berpangkat dan bentuk akar dan jawabannya.

Kerjakan dulu soal yang kamu anggap mudah.

Sebelum kita pelajari lebih lanjut tentang pangkat tak sebenarnya kita ingat dulu pangkat yang sebenarnya yaitu pangkat bulat positif, misalnya : Contoh soal bilangan berpangkat dan bentuk akar kelas 9 materi pelajaran matematika kelas 9 bab 5 bilangan berpangkat dan bentuk akar. Pangkat tak sebenarnya yang akan kita pelajari meliputi pangkat 0 (nol), pangkat negatif dan pangkat pecahan. Soal ulangan perpangkatan dan bentuk akar kelas 9 kurikulum 2013 … Pada postingan sebelumnya soal latihan pangkat tak sebenarnya, penulis sudah berbagi mengenai beberapa soal tentang pangkat tak sebenarnya tingkat smp, pada kesempatan kali ini penulis ingin memberikan pembahasan beberapa soal tersebut.semoga bermanfaat! Pangkat tak sebenarnya merupakan salah satu materi dalam sekolah menengah pertama smp sehingga para siswa smp harus dapat menguasai materi ini agar tidak kesulitan dalam mengerjakan soal yang berhubungan dengan pangkat tak sebenarnya. Berikut mafia online berikan beberapa contoh soal dan pembahasannya tentang pangkat tak sebenarnya. Ulangan harian pola bilangan dan barisan bilangan. A = a 2 = ( )( ) 1 2 = Contoh soal pangkat dan akar kelas 9 smp plus kunci jawaban juragan les from www.juraganles.com. Soal latihan lebih banyak lagi 1. Contoh soal bilangan berpangkat dan bentuk akar dan jawabannya. Latihan soal dan pembahasan uasbn matematika sd kelas 6.

Contoh soal bilangan berpangkat tak sebenarnya kelas 9.membaca setidaknya satu buku per minggu. Berikut ini adalah pembahasan tentang pangkat tak sebenarnya yang meliputi pangkat tak sebenarnya, pengertian pangkat tak sebenarnya, contoh pangkat tak sebenarnya, contoh soal pangkat tak sebenarnya, soal pangkat tak sebenarnya. Pangkat tak sebenarnya merupakan salah satu materi dalam sekolah menengah pertama smp sehingga para siswa smp harus dapat menguasai materi ini agar tidak kesulitan dalam mengerjakan soal yang berhubungan dengan pangkat tak sebenarnya. Pada postingan sebelumnya soal latihan pangkat tak sebenarnya, penulis sudah berbagi mengenai beberapa soal tentang pangkat tak sebenarnya tingkat smp, pada kesempatan kali ini penulis ingin memberikan pembahasan beberapa soal tersebut.semoga bermanfaat! Menyelesaikan soal pangkat tak sebenarnya

Cara Mudah Menngerjakan Soal Bilangan Berpangkat Tak Sebenarnya Pangkat Negatif Youtube
Cara Mudah Menngerjakan Soal Bilangan Berpangkat Tak Sebenarnya Pangkat Negatif Youtube from i.ytimg.com
Berikut mafia online berikan beberapa contoh soal dan pembahasannya tentang pangkat tak sebenarnya. Kumpulan soal pangkat dan akar kelas 9 smp doc. Mengenal pangkat tak sebenarnya rumus matematika. Iman, soal essay perpangkatan dan bentuk akar kelas 9 kurikulum 2013 1st year marketing.contoh soal perpangkatan dan bentuk akar kelas 9 kurikulum 2013.2) un matematika smp/mts tahun 2006 nilai dari √2,25 + (1,5) 2 =.soal pangkat dan akar ini terdiri dari 20 butir soal pilihan ganda.inilah pembahasan lengkap terkait soal matematika kelas 9. Pada pembahasan ini, materi tersebut akan dibahas. Sebelum kita pelajari lebih lanjut tentang pangkat tak sebenarnya kita ingat dulu pangkat yang sebenarnya yaitu pangkat bulat positif, misalnya : Karena kompleksnya dan sangat bervariasinya bentuk soal, maka materi satu ini menjadi salah satu materi yang tergolong susah. Pangkat tak sebenarnya yang akan kita pelajari meliputi pangkat 0 (nol), pangkat negatif dan pangkat pecahan.

Mengenal pangkat tak sebenarnya rumus matematika.

Soal pangkat dan akar kelas 9. Soal ulangan perpangkatan dan bentuk akar kelas 9 kurikulum 2013 … Diketahui 2 = a dan 3 = b, nyatakan soal berikut dalam a dan b! Cara mengerjakan bentuk sederhana pangkat guru ilmu sosial. 5 latihan soal matematika pangkat tak sebenarnya kelas 9 smp. Dengan menggunakan sifat perpangkatan, maka Pada awal smp, kamu telah mempelajari bilangan berpangkat positif. Bilangan pangkat tak sebenarnya pilihlah jawaban yang paling tepat ! Pada postingan sebelumnya soal latihan pangkat tak sebenarnya, penulis sudah berbagi mengenai beberapa soal tentang pangkat tak sebenarnya tingkat smp, pada kesempatan kali ini penulis ingin memberikan pembahasan beberapa soal tersebut.semoga bermanfaat! Latihan soal dan pembahasan uasbn matematika sd kelas 6. Persamaan eksponen pengertian rumus sifat contoh soal. Pangkat tak sebenarnya kelas 9 semester 2 i. Soal matematika smp pangkat tak sebenarnya2 1.

Posting Komentar untuk "Soal Pangkat Tak Sebenarnya - Pengertian Bilangan Berpangkat Nol Beserta Contoh Soal Dan Pembahasannya Berpendidikan Com : A 8 b 9 c 10 c."